[Feature Request] Arithmetic Operations #16

Open
opened 2025-11-27 17:06:23 +00:00 by giannissc · 1 comment

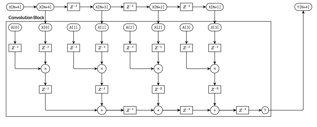
Similar to gates I would like to have simple arithmetic operations (+,-,*,/) so that I can create diagrams like the one below

image.png

Similar to gates I would like to have simple arithmetic operations (+,-,*,/) so that I can create diagrams like the one below ![image.png](/attachments/ade2ac29-d148-4ac7-b1d9-d4d275dd50b2)
HEL added the
new component
label 2025-11-28 11:36:53 +00:00
Owner

While it would be quite simple to add these elements, I believe this kind of diagram would probably be much easier to make using Fletcher

I will not implement it myself in the near future but I am open to contributions

While it would be quite simple to add these elements, I believe this kind of diagram would probably be much easier to make using [Fletcher](https://typst.app/universe/package/fletcher) I will not implement it myself in the near future but I am open to contributions
Sign in to join this conversation.
No description provided.